今天东方狮教程小编给大家讲解几何画板设定函数定义域的详细方法,有需要或者有兴趣的朋友们可以看一看下文,相信对大家会有所帮助的。
几何画板设定函数定义域的详细方法
方法一、使用系统坐标系构造函数图象,设置定义域控制几何画板函数图象大小。
1.选择“绘图”——“绘制新函数”,在“新建函数”编辑器中,编辑函数“f(x)=x3-2x-1”,“确定”后会出现无限大的函数图象。

2.右键函数图象,选择“属性——“绘图”——“范围”,修改 x的取值范围即可。

提示:这个方法设定的 x可以通过修改范围改变图象的大小,缺点是只能设置闭区间。
方法二、使用“0乘法”修改函数解析式,改变函数的定义域实现特定函数图象大小。
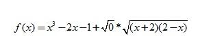
1.选择“绘图”——“绘制新函数”,在“新建函数”编辑器中,编辑函数“f(x)=x3-2x-1”,“确定”后会出现无限大的函数图象。

2.双击函数解析式,在“函数编辑器”中,将解析式修改为如图所示样式


提示:在原有解析式的基础上,后边加上了计算结果等于
0或者没有定义(无意义)的计算,就使得新的函数解析式的定义域发生了改变,从而实现了绘制特定区域函数图像的目的。“0乘”后边的解析式可以做许多修改,还可以设置开区间。
上文就讲解了几何画板设定函数定义域的详细操作过程,希望有需要的朋友都来学习哦。